When you CAN model Compressible Fluid as InCompressible
Table of Contents

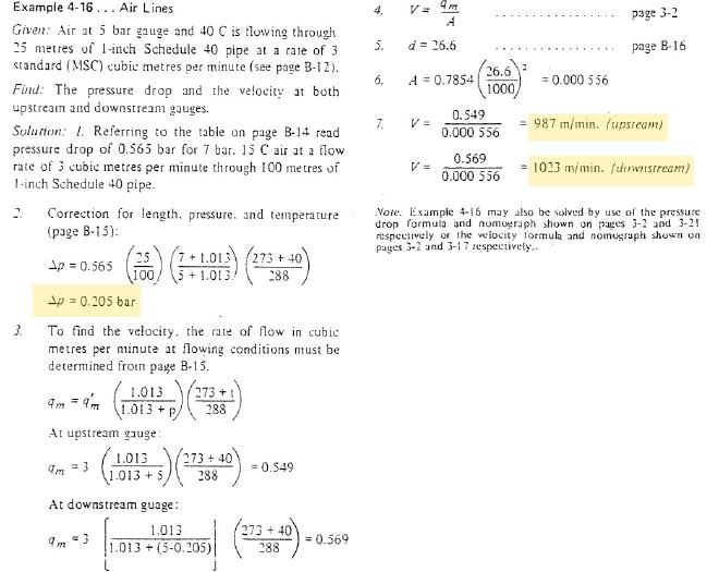
There is an old rule of thumb which states that the incompressible model (i.e Darcy-Weisbach equation for liquids) can be used for gases if the calculated pressure drop (via incompressible model) is less than 10% of the upstream absolute pressure. We will test the hypothesis using an example from Crane-Technical-1988-SI for air conveyance systems.
Problem statement #

We are very much interested in the highlighted published answers because we are going to setup a simulation having the same specifications as in the question using two different commercial applications:
- ABZ DesigNET
- HYSYS (with PIPESYS addon)
Setting up simulation #
There is a simple ‘switch’ in ABZ which will change calculation mode from compressible to incompressible & vice versa giving us the ability to re-solve the problem without going through the hassle of readjusting simulation basis as is shown on the right.

Air properties are already included in the fluid database so like HYSYS user input isn’t required except for the mass flowrate, temperature & pressure which user will have to input. Mass flowrate is calculated from 3MSC/min (@ 101.3kPa & 15C) using PV=nRT followed by mole to mass conversion using air M.W of ~28.97 $$ \left( \frac{101.3 \times 3}{8.314 \times (15 + 273.15)} \right) \times 28.97 = 3.675 , \text{kg/min} $$
Analysing simulation results #
Figures below show the results for two parameters
- Pressure drop across increasing pipe lengths (1in Sc40 carrying air)
- Inlet & exit air velocities (will be same when air is treated as incompressible)



Pipe lengths (with same geometry) are increasing with 25m increment from 25m to 125m & one can see that for compressible case the dP (pressure drop in mBar) as well as exit velocities (in m/min) are very much similar for both ABZ & HYSYS. For the 25m case common to all three the comparison is

To test the original hypothesis we will use a spreadsheet & define two simple arithmetic relationships:
- %Pressure Loss (calculated via Incompressible) w.r.t Upstream Absolute Pressure
- %Error in Incompressible DP w.r.t Compressible (actual) DP

Plotting the results for x5 scenarios of increasing pipe lengths

Conclusion #
Analyzing the results especially the 2nd graph gives the idea that pressure drop calculation from both compressible & incompressible equations within the 10% envelope yields similar results but the difference/error after that is increasing; justifiably displayed by the increasing gap between the two lines.
Pressure drop for the compressible flows would be badly under-estimated if the Incompressible (i.e. Liquid) model are used beyond the 10% envelop.
In the old days of manual piping calculations it was a valid option to take advantage of this rule of thumb because it saved computational effort and the accuracies were acceptable, but with programs like ABZ or HYSYS it takes no extra work to calculate the pressure drop rigorously using the isothermal compressible model for gas flow.
All of the figures used here along with the case files/spreadsheets are uploaded here. Additionally DWSIM is also used to replicate the results & its case file is also included. The hypothesis has been tested using AIOFLO & similar results are published at their website as well